COMPTEUR depuis sa Naissance !

Nos messages du mois : C'est par là-dessous !

Photobucket TRAVAUX en cours à l'école ! ...

vendredi 26 octobre 2012

Derniers exposés...

Chiara and Aliénor : Les deux CATASTROPHES SURNATURELLES !!!
...Alors BRAVO - Un exposé très très complet qui a complètement rempli l'après-midi avec des explications détaillées, des vidéos, du power-point = FELICITATIONS...
(Les piles de l'appareil photo étant complètement cuites à cause de leur sur-utilisation, il n'y aura pas de photos mais ... de BONS SOUVENIRS !)

Lindsay : 
-les mélanges... Carbure de calcium + eau = acétylène (Merci à Thaïs pour son coup de pied MAGIQUE !)
-l'aquarium + eau + liquide vaisselle + poissons + électricité = OOOOOOOOOOOOH !

Bravo à Lindsay pour ses explications très pratiques.
Ne te cache pas derrière ta feuille !
Nous attendons avec impatience la recette qu'elle devrait taper au propre pendant les vacances !
miam !

Bonnes vacances...



Sur l'exemple d'Aliénor, vous essaierez pendant vos vacances de faire la même chose en grammaire, orthographe, vocabulaire, MATHS !!!

 Un lien MAGIQUE : à consommer sans modération...

+

JOURNAL de la classe n°14...

LOUP SUZANE et les parents...

Lien INTERNET !!!

ça y est, nous avons de leurs nouvelles...

jeudi 25 octobre 2012

Exposé les volcans par Jeanne, Mina et Thais

Parfait les filles même si cela n'est pas toujours facile de faire un exposé à trois, vous avez bien maitrisé votre sujet et les diverses questions! Et au final on a assisté à deux éruptions dans la cour de l'école de Suzette!!!!! 
Quiz : est-ce une éruption effusive ou explosive ?






LE BONHEUR...





Juliette et Myriam vous proposent deux versions du texte de Paul Fort !

Le bonheur

Le bonheur est dans le pré. Cours-y vite, cours-y vite.
Le bonheur est dans le pré. Cours-y vite. Il va filer.

Si tu veux le rattraper, cours-y vite, cours-y vite.
Si tu veux le rattraper, cours-y vite. Il va filer.

Dans l'ache et le serpolet, cours-y vite, cours-y vite.
Dans l'ache et le serpolet, cours-y vite. Il va filer.

Sur les cornes du bélier, cours-y vite, cours-y vite.
Sur les cornes du bélier, cours-y vite. Il va filer.

Sur le flot du sourcelet, cours-y vite, cours-y vite.
Sur le flot du sourcelet, cours-y vite. Il va filer.

De pommier en cerisier, cours-y vite, cours-y vite.
De pommier en cerisier, cours-y vite. Il va filer.

Saute par-dessus la haie, cours-y vite, cours-y vite.
Saute par-dessus la haie, cours-y vite. Il a filé !


Paul Fort (1872-1960)


mercredi 24 octobre 2012

Joyeux anniversaire Jeanne !

On a fêté l'anniversaire de Jeanne à l'école, tout le monde s'est régalé de ce bon gâteau au chocolat !
6+1 = 7 ???   61 ???   10 ???
DEVINEZ !

Charles de Gaulle

Exposé de Lisa sur ce Grand Monsieur.Le maître est dans une impasse, comment arriver à changer les notes des exposés, c'est SUPER !!!Voici un extrait vidéo qui rend compte de l'ambiance de l'exposé et de l'investissement de Lisa...


mardi 23 octobre 2012

TRANSPORT SCOLAIRE...

Aujourd'hui les services de la COVE ont validé la conformité du transport en bus mis en place entre les deux communes du Barroux et de Suzette ! Tout est OK...

Les consignes élémentaires de sécurité ont été rappelées et un peu plus tard une nouvelle intervention se fera avec le soutien de la COVE.

lundi 22 octobre 2012

Félix !

 « Baumgartner Félix. »

Phrases avec compléments du verbe non déplaçables COD ou COI + onomatopées associées !

-Félix écoute son cœur : boom ! boom !
-Baumgartner entend le silence de l’espace : fiouuuuuuu !
-Félix lance un cri : aaaaaaaaaaaaaaaaaaaaaaaah !
-Félix regarde son altimètre : aouhhhhhhhhhhh !
-Félix scrute son thermomètre : aglaglaglagla !
-Félix n’attend pas la pluie : et non !
-Baumgartner s’approche du vide : crouic !
-Félix bascule son corps : oups !
-Félix quitte la capsule : yeahhhhhhhhhhhhhhh !
-Félix avance ses pieds : re-oups !
-Baumgartner regarde la terre : woaaaaaaaaaaaaa !
-Félix accélère sa chute : a+++++++++++++h !
-Félix freine sa chute : i-------------------------h !
-Baumgartner gonfle sa voile : floc !
-Félix embrasse sa chérie : big smack !

Tu veux le voir...

vendredi 19 octobre 2012

the brother !

Le frère de Milla nous propose une vidéo sur la lune pour compléterl'exposé de sa soeur :

SUPERBE et MAGIQUE !


Exposé sur la lune par Milla

Un grand bravo à Milla pour son exposé passionnant de 1h30, on a pas vu le temps passer !
Le maître est très ennuyé car il ne sait plus comment noter... FÉLICITATIONS.

De toute manière IL EST QUESTION D'ABANDONNER définitivement les notes, cela devrait nous arranger mais CONTINUEZ vos exposés !!!  BRAVO pour le TRAVAIL réalisé jusque là...

*Suite à l'exposé de Milla nous devrions regarder en classe "le voyage dans la lune" de Méliès !
*Si le frère de Milla est d'accord, nous mettrons UNE VIDEO SONORE MAGNIFIQUE qu'il a réalisé pour sa soeur ! Est-ce qu'au collège tu as l'option CINEMA ? Non !
Ben il faudra  que tu t'y intéresses VRAIMENT : les filles ont ADORE !!! à suivre...

jeudi 18 octobre 2012

lundi 15 octobre 2012

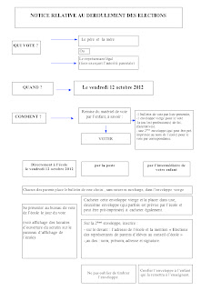
ELECTIONS REPRESENTANTS PARENTS D'ELEVES

Nous avons dépouillé les résultats ce matin et vous annonçons que
Monsieur ALEXANDRE Philippe a été élu représentant des parents d'élèves pour la classe de CM1/CM2 au conseil d'école.


Molly Malone !


Enregistré en classe avec la complicité de Blandine...
C'est un chant traditionnel irlandais : La chanson se veut tragi-comique, et conte l’histoire de Molly Malone, une jeune et belle poissonnière, vendant chaque jour son poisson, ses coques et ses moules dans les rues de Dublin jusqu’à ce qu’elle soit terrassée par une terrible fièvre...

Les voix des filles font bien passer le côté nostalgique !
Par contre en classe, nous ne sommes pas tous les jours nostalgiques... Sortez vos mouchoirs!




Version "mystique" !!!


Chanson Traduite en français

Couplet
Dans la belle ville de Dublin
Où les filles sont si jolies
J’ai posé les yeux sur la douce Molly Malone
Alors qu’elle poussait sa charrette
À travers les rues larges et étroites
En criant : “Coques et moules ! Fraîches, bien fraîches !”

Refrain
Fraîches, bien fraîches, fraîches, bien fraîches
En criant : “Coques et moules ! Fraîches, bien fraîches !”

Couplet
Elle était marchande de poisson
Mais pour sûr ça n’avait rien d’étonnant
Car c’est ce que son père et sa mère étaient
Et chacun d’eux auparavant poussait sa charrette
À travers les rues, larges et étroites
En criant : “Coques et moules ! Fraîches, bien fraîches !”

Refrain
Fraîches, bien fraîches, fraîches, bien fraîches
En criant : “Coques et moules ! Fraîches, bien fraîches !”

Couplet
Elle mourut d’une fièvre
Et personne ne put la sauver
Et ce fut la fin de ma douce Molly Malone
Mais son fantôme pousse sa charrette
À travers les rues larges et étroites,
En criant : “Coques et moules ! Fraîches, bien fraîches !”

Refrain
Fraîches, bien fraîches, fraîches, bien fraîches
En criant : “Coques et moules ! Fraîches, bien fraîches !”

vendredi 12 octobre 2012

l'artiste !

Aliénor vous rappelle le numéro de téléphone de l'école : 04 90 62 92 95
...Nous sommes joignables aux heures de récréations quand le "portable-brosse" du maître n'est pas utilisé et en mode veille seulement, merci de votre COMPRÉHENSION !

Scéance de sport dans la cour de l'école

ça se complique !!!Les filles ne reculent devant aucun obstacle !


jeudi 11 octobre 2012

Bétisier de septembre !



Voici "les perles" des élèves de l'école de Suzette pendant la classe : nous cherchons un éditeur !

-Myriam a dit : « Bonjour Myriam ! » en parlant aux autres filles dans la classe !

-Juliette M. a compté 20 doigts de pied  au maître au lieu des 10 qu'il a d'habitude !

-Thaïs confond « le cachier » avec son cahier du jour !!!

-Lila évite la « répitation » au lieu de la répétition ... Pas trouvé dans le dictionnaire !

-Juliette B. confond la musique « esthétique » et la musique celtique ! ...Si vous avez un CD de musique esthétique acoustique, le maître est preneur !

-Naïs confond le verbe travailler et le « travil » dans sa leçon de conjugaison : c'est plus rapide de "traviler" que de travailler !!!

-Juliette B. parle du « débrouilleur » au lieu de l’embrayage de la moto ! Le maître cherche encore le "débrouilleur" sur sa moto !

-Lila organise  un salon de manucure et de « piédicure » dans la cour de récré : 15 euros la séance de "piédicure" !!!

-Mina écrit sur son cahier du jour le « 6 septembres » parce qu’il y a 6 septembre ???

-Thaïs écrit dans son répertoire « frase » au lieu de phrase !...Sa mère va lui taper sur la tête à coups de répertoire !!!

mercredi 10 octobre 2012

La Guyane française.


Lila nous fait une visite CAPTIVANTE !
Elle respecte son plan d'exposé et enchaîne les explications...
On ne voit pas le temps passer et son exposé a duré 1H 30 !!!

Cela va être difficile de "noter" sur 20 !
Il faut INVENTER une nouvelle façon de noter en classe...

BRAVO pour la préparation de ton exposé et FÉLICITATIONS pour la façon dont tu le présentes !
J'espère que cela va donner des idées aux autres.

20/20 !!!

Super le petit questionnaire de la fin : tout le monde participe et les questions fusent...
ça donne envie de partir faire un tour en Guyane !


Lila nous fait une visite CAPTIVANTE !


*Le maître ne peut pas tout filmer, il essaiera de mettre en ligne quelques documents apportés par Lila et vous saurez tout sur les "Touloulous", les paresseux et les filles singes hurleurs !!!

mardi 9 octobre 2012

Exposé sur la météorologie par Myriam

Texte écrit par Myriam...
20/20
La météo et ses nuages

Travaillez, prenez un pluviomètre :
C'est la girouette qui manque le moins.
Un riche météorologue, sentant sa tempête prochaine, fit venir ses anémomètres, leur parla sans baromètre.
"Gardez-vous, leur dit-il, de vendre les parapluies
Que nous ont laissé nos tourbillons atmosphériques.
Un anticyclone est caché dedans.
Je ne sais pas le bulletin météo; mais un peu de prévisions
Vous le fera trouver : vous en viendrez à la fin de l'épisode cyclonique.
Remuez votre barographe dès que l'on aura fait l'observation :
Creusez, fouillez, bêcher; ne laissez nul brouillard
Où le vent ne passe et repasse."
Le soleil mort, les dépressions vous retournent le beau temps,
Deçà, delà, partout.......
Si bien qu'au bout de l'orage
Il en rapporta davantage.
D'ensoleillement, point de caché.
Mais le météorologue fut sage
De leur montrer avant sa disparition
Que la saison des pluies est une bénédiction !!!!!

Jean de la pluie







Un exposé très riche, bravo à Myriam pour ses recherches !

lundi 8 octobre 2012

Les portraits de Mireille par les élèves de Suzette

Mais à qui appartiennent ces belles réalisations, à vous de deviner?

Mireille est très gentille...
Son travail, c'est cantinière !
La deuxième dame de la cantine s'appelle Frédérique.
Mireille fait des plats et Frédérique les sert.
Mireille fait de très bons plats...
Pour arrêter nos cris de joie, elle sonne une cloche et puis après 
plus un bruit dans la cantine...
Même qu'on n'entend plus une mouche !
En tous cas, on n'a pas le droit d'entrer dans la cuisine.
Sa maison, je ne sais pas comment elle est ?
Mais je sais où c'est !

Voilà, devinez qui c'est ?

vendredi 5 octobre 2012

Exposé la terre et les planètes par Juliette M. et Nais

Les filles ont fait un duo impeccable.
Chacune avait un rôle...
Voici un lien sympa : http://www.curiosphere.tv/soleil/syssol.htm
Tu peux "jouer" avec tes parents !
Une présentation parfaite et très riche
C'était super les filles, un vrai régal pour toute la classe!
Total = 20/20


Qui fera mieux ???


jeudi 4 octobre 2012

le premier exposé !


Bravo à Juliette : il fallait oser passer la première devant les yeux et les remarques des copines...
En plus, il y avait le maître et maintenant sur... INTERNET !!!
-le plan au tableau = super !
-le tableau des coquillages collés = extra !
-le document au vidéoprojecteur = sensas !
-la vidéo tout en bas ...= à voir ! (achetez du sel...)
-la recette = merci PAPA !

Vidéo en ligne, ici :
https://docs.google.com/open?id=0B8AAXb4ItsB6ekd0UjlBakZVaFk

...Que dire de plus ? 20/20 !!!
Ci-joint extrait vidéo de l'exposé : remarquez l'attention de tout le monde...
"On n'a pas vu le temps passer"

Juliette a mis la barre très haut !


Ci joint un lien vidéo en plus pour la pêche à pied du couteau !
Cordialement et bonne journée.

http://www.youtube.com/watch?v=iKStySJxz4Q

mardi 2 octobre 2012

bientôt les exposés...

Si tu cliques sur ce lien, tu verras ton exposé se dérouler devant toi !
Il faudra que tu retrouves la bonne photo et que tu nous présentes en classe
tout ce que tu as à nous dire !!!

lundi 1 octobre 2012

VOTE des PARENTS

Les parents désireux de se présenter comme délégués au Conseil d'école viennent le signaler au maître : merci !